
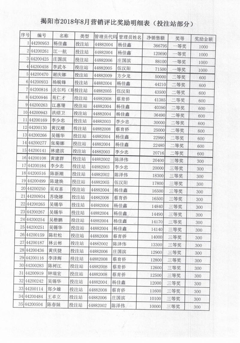
2、获奖网点及管理员明细:

对以上奖励有异议的,可以通过来信、来电、网上留言等方式反映,也可直接到揭阳市福彩中心反映。
受理单位:揭阳市福利彩票发行中心办公室。