今天是  
网站首页 > 公告信息
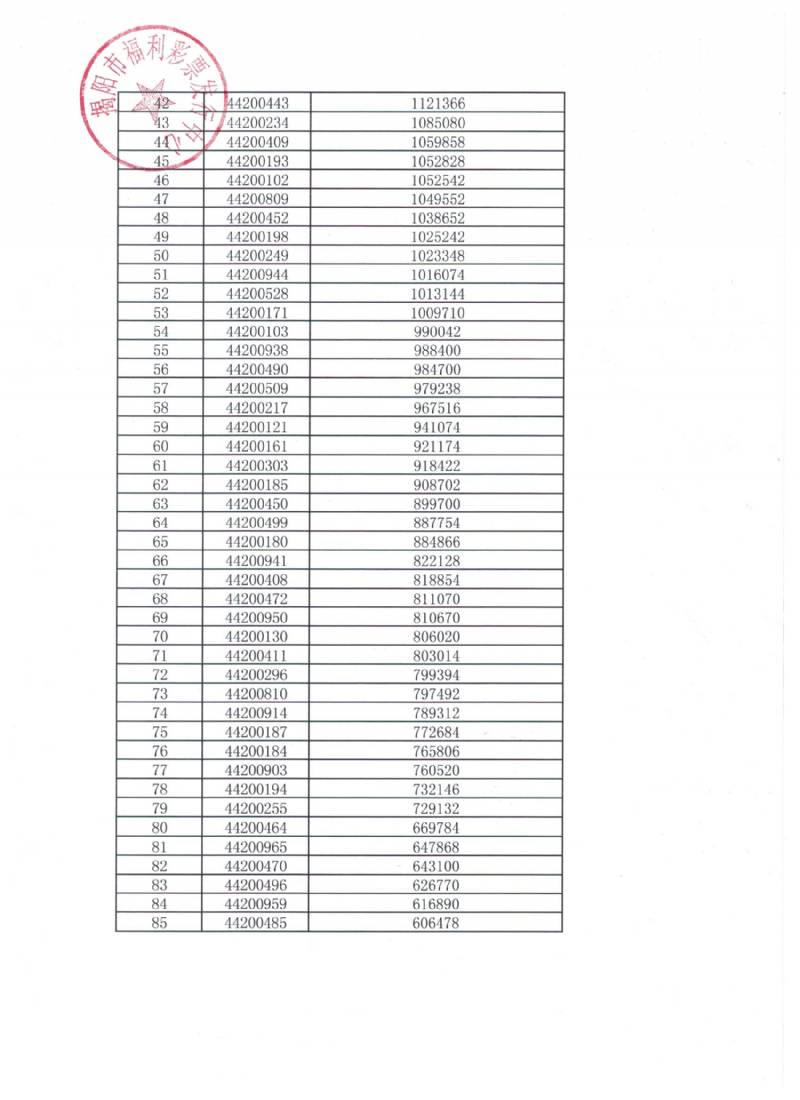
关于揭阳市福彩投注站第一批“快乐8” 游戏试点名单的公示
发布日期:2020-12-14
  根据广东省福利彩票发行中心“快乐8”游戏试点上市工作通知精神,省福彩中心第一批安排我市85个“快乐8”游戏试点名额,现结合我市实际情况,对新试点投注站将择优开设,动态管理,能进能出,实行淘汰机制。我市拟首批参与销售站点按2020年1月至11月电脑票总量排全市前85名增设“快乐8”游戏。上市后每月对增设“快乐8”站点调整一次,按上个月全市电脑票总量排前85名站点及销售“快乐8”日平均销量不低于200元的站点作为增设“快乐8”条件。
现将首批站点销售名单予以公示,如有异议,请于公示期内与我中心联系。
  公示时间:2020年12月14日至18日
  联系单位:揭阳市福利彩票发行中心
  联系电话:8230795



                          揭阳市福利彩票发行中心        

                              2020年12月14日    


附件:揭阳市“快乐8”游戏试点名单公示